Фінанси

угрозы

Негативный результат. Фонд гарантирования уходит в минус по средствам для выплат вкладчикам

Фонд гарантирования вкладов снова нуждается в поддержке НБУ
Фонд гарантирования вкладов будет продолжать сосать деньги из Нацбанка
Фото: Константин Мельницкий

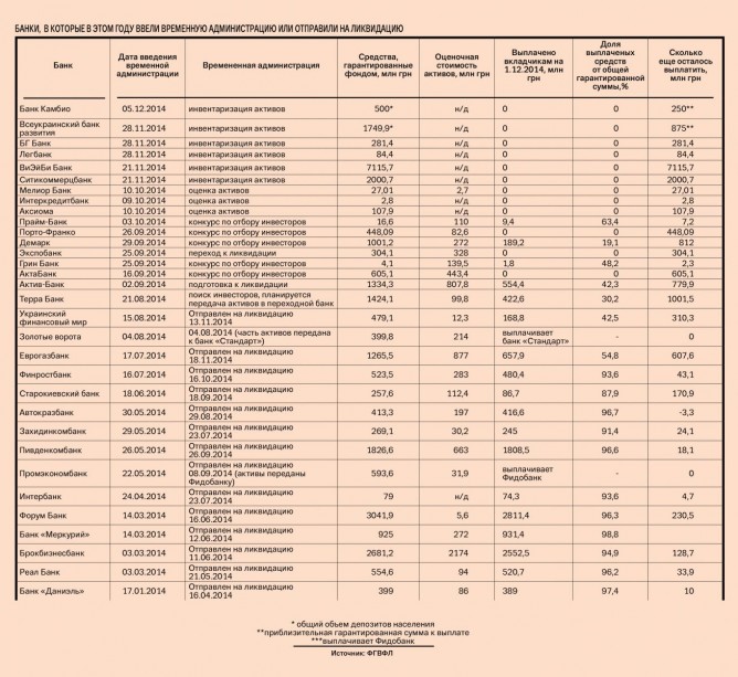
На 1 декабря в распоряжении Фонда гарантирования вкладов физических лиц (ФГВФЛ) находилось 15,9 млрд грн, говорится в официальном сообщении фонда. При этом общая сумма, которую фонду необходимо компенсировать вкладчикам неплатежеспособных банков в рамках гарантированных физлицам 200 тыс. грн, составляет около 15,8 млрд грн. И это без учета Всеукраинского банка развития и банка «Камбио», по которым Фонд еще не назвал объем необходимых выплат. Общий объем депозитов населения этих банков составляет 2,2 млрд грн.

Возмещению подлежит

Обычно гарантированная сумма вкладов равна приблизительно половине общего депозитного портфеля физлиц. Следовательно, выплате по двум вышеназванным финучреждениям подлежат еще 1,1 млрд грн. Таким образом, на сегодняшний день ФГВФЛ нуждается еще в 1 млрд грн. До конца года эта сумма вырастет как минимум в несколько раз. Заместитель директора-распорядителя ФГВФЛ Андрей Оленчик в начале декабря сообщил, что к 2015 г. список неплатежеспособных банков Украины могут пополнить еще 10 финучреждений.

С тех пор временную администрацию ввели только в банк «Камбио». «Является ли эта цифра окончательной? Есть определенный перечень кандидатов у Нацбанка — до десятка, — которые до конца года могут пополнить фонд. Мы еще не знаем, какое решение будет принято НБУ», — сказал Оленчик.

«У нас есть статистика Нацбанка, который анонсировал, что до конца года в список проблемных попадут еще 12 банков. То есть к концу года мы будем иметь 112 условно живых банков», — отметил председатель наблюдательного совета банка «Национальный кредит» Андрей Онистрат. По оценке банкира, на сегодняшний день условно платежеспособными являются лишь 124 банка из 166 действующих в стране: к категории проблемных уже отнесены 13 банков (задерживают платежи) и еще 12 являются неплатежеспособными (вообще не выполняют обязательств), а в 17 банках работает временная администрация.

Учитывая тот факт, что до конца года осталось всего две пятницы (а именно в этот день недели ФГВФЛ предпочитает вводить временную администрацию), начало 2015‑го станет не менее динамичным в плане выведения финансовых учреждений с рынка. Сегодня проб­лемы есть у Дельта Банка, Надра Банка и Имэксбанка.

15,9 млрд грн находилось в распоряжении Фонда гарантирования вкладов физлиц на начало декабря

Однако, по мнению управляющего партнера инвесткомпании Capital Times Эрика Наймана, среди банков, которые будут в ближайшее время признаны неплатежеспособными, вряд ли будут финучреждения из группы крупнейших. «Даже Международный валютный фонд советует Нацбанку не доводить крупнейшие банки до банкротства, а спасать их через национализацию», — добавил эксперт.

Более оптимистичные прогнозы дает ведущий аналитик рейтингового агентства «Эксперт Рейтинг» Виталий Шапран. Он считает, что до конца года неплатежеспособными будут признаны один-два мелких банка. А председатель правления Украинской межбанковской валютной биржи Анатолий Гулей вообще уверен, что до конца года ФГВФЛ не станет вводить временную администрацию в финучреждения. Помимо всего прочего, об этом, по мнению эксперта говорит тот факт, что миссия МВФ уже и так положительно оценила проделанную Нацбанком работу. «Кроме того, на прошлой неделе НБУ выдал банкам около 10 млрд грн рефинансирования. Это поддержит ликвидность банковской системы до 6 января. А вот уже в следующем году, после анализа банковских балансов на 1 января, неплатеже­способные финучреждения начнут выводить с рынка группами», — подчеркнул Гулей.

Денежный вопрос

Если массовое введение временной администрации продолжится в ближайшее время, Фонду гарантирования вкладов может понадобиться дополнительно 20‑40 млрд грн.

Для поддержки ФГВФЛ Нацбанку придется прибегнуть к очередной эмиссии гривни. «ФГВФЛ тяжело наполняется деньгами. Но все свои обязательства выполнит. НБУ прибегнет к допэмиссии. Затем фонд должен вернуть эти деньги», — объясняет Найман.

В свою очередь в ФГВФЛ уверяют, что свои средства в рамках гарантированных получат все вкладчики. В начале декабря председатель Нацбанка Валерия Гонтарева сообщила, что уже в этом месяце государство выделит фонду около 10 млрд грн. «Государство обязуется полностью финансировать фонд и выделяет средства по мере надобности. Это можно сделать как за счет средств правительства, так и за счет кредитов НБУ. На сегодняшний день фонд получил от НБУ кредит на сумму 10,2 млрд грн. В течение декабря текущего года НБУ профинансирует фонд в размере 9,95 млрд грн для расчета с вкладчиками банков, которые были отнесены к категории неплатежеспособных, включая ВиЭйБи Банк и CityCommerce Bank», — говорила она ранее. Гонтарева добавила, что регулятор активно работает со Всемирным банком, который в этом году уже выделил $ 500 млн специально для ФГВФЛ — потратить эти средства можно только на фонд.

Завантаження...
Комментарии (0)
Для того, чтобы оставить комментарий, Вы должны авторизоваться.
Гость
реклама
реклама