Фінанси

банки

Фонд гарантирования продлевает сроки реализации имущества банков-банкротов

Фонд гарантирования продлевает сроки реализации имущества банков-банкротов
Фото: goldengate.kharkov.ua

6 декабря вступили в силу изменения в положение Фонда гарантирования вкладов физлиц (ФГВФЛ) — процесс ликвидации банков продлили еще на один год, с двух до трех лет. Об этом рассказал заместитель директора-распорядителя фонда Андрей Кияк.

Согласно прежним правилам ФГВФЛ, именно в период ликвидации банка фонд имеет право реализовать его имущество. «Помимо этого в первом квартале 2015 г. при фонде будет создано спецучреждение, которое также будет заниматься продажей имущества ликвидируемых банков. Эта структура будет работать с активами ликвидированных банков еще не менее трех лет», — рассказал Кияк. Соответственно общий срок реализации имущества банков составит минимум шесть лет.

Спецучреждение будет заниматься реализацией тех активов, которые не удалось продать фонду. Ранее по истечении сроков ликвидации такие активы просто списывались. Также новоиспеченной структуре будут передаваться права требования по непогашенным клиентами ликвидируемого банка кредитам.

Три года в запасе

«На ликвидацию банка теперь смогут отводить три года. При этом в каждом ликвидируемом банке есть какой‑то персонал, формируется бюджет и, по сути, все затраты на его содержание с определенного момента становятся больше доходов от реализации имущества фондом. Намного проще уже через год ликвидационной процедуры все активы передать в специально созданный фонд, который будет заниматься реализацией активов и претензионно-исковой работой в отношении проблемных активов», — говорит директор инвесткомпании «Финэкс Капитал» Игорь Когут.

Спецучреждение будет работать по принципу компании по управлению активами, предполагает председатель правления Украинской межбанковской валютной биржи Анатолий Гулей. При этом он отмечает, что создание отдельных структур не всегда оправданно. «Мое предложение использовать в этой стратегии два банка: «Киев» и «Родовид». Их функциональность как раз соответствует требуемым критериям. Создание такой структуры — это уже политика, а не экономика», — добавил он.

88 млн грн уже удалось привлечь Фонду гарантирования вкладов от продажи имущества Эрде Банка и банка «Таврика»

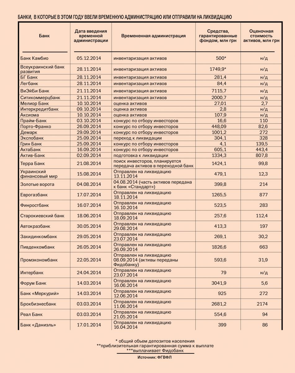
Всего в стадии ликвидации на сегодня находятся 17 банков (решение по банку «Золотые ворота» НБУ принял 5 декабря). «Фонд завершает реализацию активов Эрде Банка и банка «Таврика». Банки «Даниэль», «Меркурий» и Реал Банк находятся в начале реализации. По Брокбизнесбанку также на следующей неделе будет утверждаться ликвидационная масса. А по банкам «Старокиевский», Финростбанк, Еврогазбанк заканчивается инвентаризация активов. Все остальные банки у нас пока в состоянии администрации», — говорит Андрей Кияк.

Общая гарантированная государством сумма депозитов по ликвидируемым банкам сейчас (без учета банка «Золотые ворота») составляет 15 млрд грн, а оценочная стоимость их активов — 10,5 млрд грн. Что касается оценочной стоимости активов банков, в которые сейчас введена временная администрация, то по десяти из них, согласно данным ФГВФЛ, она составляет 2,5 млрд грн. Но большая часть этих средств находится в залоге у Нацбанка под полученное рефинансирование, рассказал Кияк.

«Это (деньги от реализации имущества банков. — Капитал) очень важный источник для возвращения фонду средств, которые он потратил на соответствующие займы и выплаты по гарантированным суммам, — подчеркнул Кияк. — К примеру, по Эрде Банку и банку «Таврика» на сегодняшний день продано имущества на сумму около 88 млн грн. Эти деньги пошли на погашение обязательств банков перед вкладчиками и фондом». Также он отметил, что 2015 г. должен стать «золотым временем для возврата средств фонда от продажи имущества «Форума», Брокбизнеса и других банков».

Торг уместен

Подготовка к продаже банковских активов происходит путем инвентаризации, которая проводится на протяжении 180 дней, когда банк находится на ликвидации. К примеру, инвентаризация должна быть завершена в «Форуме» 16 декабря, а в Брокбизнесбанке — 11 декабря. «Но мы будем стремиться к ускорению этого процесса, ведь чем быстрее, тем дороже можно продать активы. К примеру, когда перестают погашаться кредиты, естественно, эти активы становятся дешевле», — говорит Андрей Кияк.

Оценкой имущества банков занимаются аккредитованные оценочные компании. «Ранее критерии по их отбору были довольно размыты. Требовался соответствующий сертификат и опыт работы. Сейчас более сорока оценщиков аккредитованы фондом. Уполномоченное лицо, работающее в неплатежеспособном банке, может само их выбирать, но с целью избежать некоторых нюансов, в том числе специального занижения цены, фонд проводит мини-тендер между всеми аккредитованными оценщиками», — рассказал Кияк. При этом с 4 декабря фонд ввел новые требования к таким компаниям. Теперь от них будут требовать не менее чем пятилетнего опыта работы на рынке с банковскими учреждениями, не менее трех квалифицированных оценщиков в штате и работы с международными организациями, в том числе по МСФО. Кроме того, по словам Кияка, будет создан институт из наиболее уважаемых компаний, которые будут выполнять роль апелляционного жюри. Это шесть-семь представителей крупных, авторитетных компаний, которые будут определять качество отчетов по оценке, обещает он.

Уточнение:
В первой версии таблицы в графе к Пивденкомбанку была допущена техническая ошибка. Сейчас проходит ликвидация банка и идет инвентаризация активов

 

Завантаження...
Комментарии (0)
Для того, чтобы оставить комментарий, Вы должны авторизоваться.
Гость
реклама
реклама